/forums/comment/620349-i-data-ed3-3-i-p-zanimalsja-utrom-spalo-ploho-no-zato
09.07.2025 12:03
Занимался утром. Спало плохо, но зато попил воды. Сделал 6 кругов: 12-10-5. Отжимания уже не делал, т.к. объем выполнен на неделю. Наклоны пошли, мышцы прям возмущаются.

Пульс нормальный. Но все же великоват для кругов без отжиманий, возможно вчера еще сложная тренировка для меня была. Но вероятно нет болезни. Ура.

Парадокс спорта, — сказал он, — заключается в том, что человек тренируется и участвует в соревнованиях, чтобы улучшить качество жизни, но всегда рискует умереть
/forums/comment/620364-i-data-ed3-3-i-p-zanimalsja-utrom-spalo-ochen-ploho
10.07.2025 10:07
Занимался утром. Спало очень плохо. Сделал 6 кругов, чтобы добить недельные объемы: 12 выпадов -11 австр. - 4 наклона. Задняя поверхность бедра прям ныла на наклонах, что радует.


Пульс совсем расти не хотел, но к последнему кругу разогнался. Лето в этом году в Петербурге, как в Мордоре. Начинает появляться грусть.

Плечи стал мазать снимающими боль гелями и спать с подушкой между рук. Спать стало легче, реже просыпаюсь от боли теперь. Гель вроде тоже действует, но левый трицепс, как болел при подтягиваниях, так и болит.

Со следующей недели я безработный. Полгода назад было две работы, а
теперь ни одной. Но как говорилось, не ты выбираешь роль, играй, как
умеешь, что дал режиссер. Немного страшно перед будущим.
Парадокс спорта, — сказал он, — заключается в том, что человек тренируется и участвует в соревнованиях, чтобы улучшить качество жизни, но всегда рискует умереть
/forums/comment/620393-i-data-ed3-3-i-p-itog-za-11-nedelju-vypolnil-4
12.07.2025 17:46
Итог за 11 неделю: Выполнил 4 тренировки.


Планы на неделю №12
подтягивания австралийских 310
выпады 277
отжимания 112
наклоны 119


Немного о неделе:
Выполнил объемы за 4 тренировки подряд. Отжимания так вообще за два дня. Немного изменил технику выпадов, стало сложнее, но мне так нравится больше. Стал вновь получать удовольствие от тренировок. Стал спать с подушкой между рук и ночью реже просыпаюсь от болей в плечах. Опять пил алкоголь. Меня сократили на работе и теперь я безработным начинаю новую неделю, в планах начать снова делать после кругов гимнастику бубновского с эспандерами или даже до кругов буду ее делать. Стал стараться не пить кофеиносодержащие напитки после 15-00. В качестве альтернативы наливаю воду, но чет не очень идет. Добавил туда лимонного сока - стало получше, но чат гпт пишет, что это разрушает зубную эмаль.

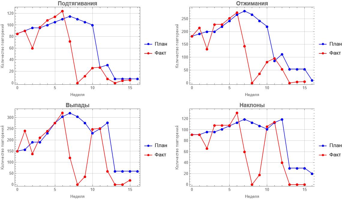
Загнал свои результаты в ИИ с просьбой опеределить объем для 12 недели, вот его ответ. Принял вызов:


Анализ вашей 11-недельной тренировочной истории показывает четкую картину периодизации, включающую здоровую фазу (недели 0-6), травматический период (недели 7-8) и фазу восстановления (недели 9-11)12.
Training Progress Analysis showing actual performance over 11 weeks with clear injury period and recovery phases
Основные выводы по периодам:
Здоровая фаза (недели 0-6):
Отличная адаптация к нагрузкам с превышением плановых объемов
Подтягивания: среднее выполнение 97 повторений при плане 97
Выпады: 225 повторений при плане 214
Отжимания: 216 повторений при плане 214
Наклоны: 100 повторений при плане 99
Травматический период (недели 7-8):
Резкое снижение объемов на 7 неделе (признаки перегрузки)
Полный отдых на 8 неделе - правильное решение1
Фаза восстановления (недели 9-11):
Постепенное возвращение к нагрузкам с разной скоростью по упражнениям
Наклоны восстановились на 87% от пика
Выпады восстановились на 78% от пика
Отжимания восстановились на 35% от пика
Подтягивания восстановились только на 21% от пика



Рекомендации на 12 неделю
Основываясь на принципах постепенного увеличения нагрузки и правиле 10%23, а также учитывая разные темпы восстановления по упражнениям, рекомендую следующие объемы:

Упражнение Неделя 11 (факт)
Восстановление от пика
План на неделю 12
Стратегия
Подтягивания 26 21.0% 31 Консервативная прогрессия +5 повторений
Выпады 252 78.3% 277 Стандартная прогрессия +10%
Отжимания 96 35.0% 112 Умеренная прогрессия +20%
Наклоны 114 87.0% 119Осторожная прогрессия +5%
Обоснование рекомендаций
Подтягивания (31 повторение)
Критически низкий уровень восстановления требует консервативного подхода12. Стагнация на 10-11 неделе указывает на необходимость небольшого абсолютного прироста в 5 повторений для преодоления плато.

Выпады (277 повторений)
Хорошее восстановление позволяет применить стандартную прогрессию 10%3. Стабильный рост на 10-11 неделе (+4 повторения) дает основания для увеличения темпа.

Отжимания (112 повторений)
Умеренное восстановление с положительной динамикой (+14 повторений на 10-11 неделе) позволяет увеличить прогрессию до 20%2.

Наклоны (119 повторений)
Практически полное восстановление требует осторожного подхода во избежание перегрузки. Прирост в 5 повторений обеспечит безопасное продвижение.

Дополнительные рекомендации
Принципы безопасности:
Внимательно отслеживайте самочувствие и не превышайте рекомендованные объемы14
При появлении дискомфорта немедленно снижайте нагрузку
Обеспечьте качественное восстановление между тренировками5
Долгосрочная стратегия:
Подтягивания потребуют 8-10 недель для возвращения к пиковым значениям
Выпады могут достичь пика через 2-3 недели
Отжимания восстановятся через 6-8 недель
Наклоны готовы к пиковым нагрузкам уже сейчас
Данный план учитывает индивидуальные особенности восстановления каждого упражнения и следует принципам безопасной прогрессии после травмы.


Парадокс спорта, — сказал он, — заключается в том, что человек тренируется и участвует в соревнованиях, чтобы улучшить качество жизни, но всегда рискует умереть
/forums/comment/620437-i-data-ed3-3-i-p-zanimalsja-vecherom-snachala-sdelal
14.07.2025 23:53
Занимался вечером. Сначала сделал упражнения с эспандерами по Бубновскому на плечи и затем 6 кругов: 12-10-9-5.


Пульс нормальный. Отжимания идут легко и без боли.

Сделал утром упражнения на плечи с эспандером и вечером. Буду сокращенно писать "эспандеры".

Парадокс спорта, — сказал он, — заключается в том, что человек тренируется и участвует в соревнованиях, чтобы улучшить качество жизни, но всегда рискует умереть
/forums/comment/620454-i-data-ed3-3-i-p-poigral-utrom-v-futbol-i-posle
16.07.2025 10:55
Поиграл утром в футбол и после позанимался немного с эспандерами (6 кг). Сил делать вечером круги не было.



Средний пульс 143 😅 . Радует, что экстрим зона только 5 минут. Опять смеюсь, парюсь там на кругах от 140, а потом на футболееее каааак отрываюсь. Честно сказать старался больше отдыхать и меньше бегать. Люблю футбол.

Парадокс спорта, — сказал он, — заключается в том, что человек тренируется и участвует в соревнованиях, чтобы улучшить качество жизни, но всегда рискует умереть
/forums/comment/620555-i-data-ed3-3-i-p-za-12-nedelju-uspel-odin-raz
22.07.2025 20:10
За 12 неделю успел один раз потренироваться, один раз поиграть в футбол и сделать 3-4 гимнастики бубновского на плечи. Сходить на Три собеседования и снова заболеть. Планы на 13 неделю снижаю, шас довольно херово. Событий в жизни масса, например, сломалась машина далеко за городом (заказал новый стартер, жду) и потерял очки в электричке (нашлись спустя пару часов на вокзале). Вроде бы и на заслуженном отдыхе, а им не пахнет.



Забыл добавить. Делал гимнастику и отдышка пошла и пот. Подумал, - неужели опять заболел? И точно! Уже второй раз так перед болезнью. Будет третий, буду реагировать.
Парадокс спорта, — сказал он, — заключается в том, что человек тренируется и участвует в соревнованиях, чтобы улучшить качество жизни, но всегда рискует умереть
/forums/comment/620583-i-data-ed3-3-i-p-zapahi-propali-slovil-koronu-pohodu
24.07.2025 12:42
Запахи пропали. Словил корону походу. Пока на больничном друзья. Всегда помню, сколько умерло врачей, морщивших лоб над телом больного.
Парадокс спорта, — сказал он, — заключается в том, что человек тренируется и участвует в соревнованиях, чтобы улучшить качество жизни, но всегда рискует умереть
/forums/comment/620647-i-data-ed3-3-i-p-zapisi-kalecha-prodolzhajutsja
28.07.2025 16:53
Записи калеча продолжаются вопреки ковиду. В общем очередная неделя без тренировок. Жопка какая-то.


Парадокс спорта, — сказал он, — заключается в том, что человек тренируется и участвует в соревнованиях, чтобы улучшить качество жизни, но всегда рискует умереть
/forums/comment/620808-i-data-ed3-3-i-p-proshlaja-nedelja-byla-opjat-na
06.08.2025 08:08
Прошлая неделя была опять на больничном. На новой выписался. Делаю гимнастику с экспандерами на плечи и за каждый раз засчитываю одно подтягивание или отжимание. Думаю со вчера уже могу тренироваться по самочувствию, но лень. Еще живу за городом в другом ритме, тоже сбило настрой. Плечи еще болят, оба. Пока в планах тот же минимум и делать каждый день зарядку на плечи дважды (иногда делаю один раз, а иногда вообще не делаю). Дачно-шашлычный сезон удачно налажился на возможность оправдать бездействие болями. Как там шутили, несведущий человек винит всех остальных, практикующий только себя, а познавший практику не винит ни остальных, ни себя. Кайрос.


Парадокс спорта, — сказал он, — заключается в том, что человек тренируется и участвует в соревнованиях, чтобы улучшить качество жизни, но всегда рискует умереть
/forums/comment/620819-i-data-ed3-3-i-p-postarajus-po-chashhe-pisat-segodnja
06.08.2025 23:24
Постараюсь по чаще писать. Сегодня сделал одну гимнастику для плеч.
Прошел 3 этапа собеседований и получил отказ.
Выиграл игрушку в автомате.
Парадокс спорта, — сказал он, — заключается в том, что человек тренируется и участвует в соревнованиях, чтобы улучшить качество жизни, но всегда рискует умереть
/forums/comment/620836-i-data-ed3-3-i-p-taks-vchera-sdelal-dva-raza
08.08.2025 11:38
Такс. Вчера сделал два раза гимнастику. Силы позволяют и делать выпады и наклоны, но чего-то времени не нахожу. Сегодня еще ничего не делал, только учился.
Парадокс спорта, — сказал он, — заключается в том, что человек тренируется и участвует в соревнованиях, чтобы улучшить качество жизни, но всегда рискует умереть
/forums/comment/620848-i-data-ed3-3-i-p-vchera-sdelal-dva-raza-gimnastiku
09.08.2025 11:55
Вчера сделал два раза гимнастику. Мышцы даже немного ныть стали в плечах. Но боль кажется уходит, становится спать легче. Шашлычный сезон продолжается.
Парадокс спорта, — сказал он, — заключается в том, что человек тренируется и участвует в соревнованиях, чтобы улучшить качество жизни, но всегда рискует умереть
/forums/comment/620924-i-data-ed3-3-i-p-na-proshloj-nedele-ja-sdelal-5-raz
13.08.2025 20:19
На прошлой неделе я сделал 5 раз гимнастику и даже немножко выпадов. Очень мне лень все делать. Образ жизни сильно изменился. Раньше я шел гулять с утра и за одно тренировался, а теперь всего этого нет. И работа как-то стабилизировала, а теперь я с полным свободным временем за городом. Плечи болят конечно, но уже меньше. Я уже не знаю куда ниже понижать планы на неделю, чтобы заставить себя двигаться, с такими записями осталось количество вдохов подсчитывать, чтобы было о чем писать.


Есть и положительные моменты, я выстроил учебу. Уделяю значительное количество времени английскому, программирование и обучению. Когда-то я уже жил в творческом отпуске, назрел на новый. Это такой отпуск, когда тебя никто не может потревожить. Потихоньку готовлю все окружение, что я теперь в определенные часы недоступен. Собесы тоже перенес на осень. Вдруг мне удастся вырваться из этого кольца дом - контора - дом. Хотя абсурдность я уже пережил, но насколько приятно вспомнить эти когда-то шокирующие меня строки:


Бывает, что привычные декорации рушатся. Подъем, трамваи, четыре часа в конторе или на заводе, обед. трамвай, четыре часа работы, ужин, сон; понедельник, вторник, среда, четверг, пятница, суббота, все в том же ритме -- вот путь, по которому легко идти день за днем. Но однажды встает вопрос "зачем?". Все начинается с этой окрашенной недоумением скуки. "Начинается" вот что важно. Скука является результатом машинальной жизни, но она же приводит в движение сознание. Скука пробуждает его и провоцирует дальнейшее: либо бессознательное возвращение в привычную колею, либо окончательное пробуждение. А за пробуждением рано или поздно идут следствий: либо самоубийство, либо восстановление хода жизни. Скука сама по себе омерзительна, но здесь я должен признать, что она приносит благо. Ибо все начинается с сознания, и ничто помимо него не имеет значения. Наблюдение не слишком оригинальное, но речь как раз и идет о самоочевидном.


з.s. на новой неделе сделал один раз зарядку, 10 выпадов и 2 наклона.


Парадокс спорта, — сказал он, — заключается в том, что человек тренируется и участвует в соревнованиях, чтобы улучшить качество жизни, но всегда рискует умереть
/forums/comment/620936-i-data-ed3-3-i-p-segodnja-poldnja-zhil-po-planu-jeto
14.08.2025 22:36
Сегодня полдня жил по плану. Это когда у тебя каждая минута расписана. Все получилось, очень доволен собой. Сделал два раза гимнастика, один подход занимает около 20 минут. Подумываю на следующей неделе сьездить в город и взять эспандеры потолще. Там вроде встреча на Аляске началась или должна начаться скоро, так что завтра постараюсь до обеда работать и новости не читать, а то мало ли, весь настрой собьют.
Парадокс спорта, — сказал он, — заключается в том, что человек тренируется и участвует в соревнованиях, чтобы улучшить качество жизни, но всегда рискует умереть
/forums/comment/620958-i-data-ed3-3-i-p-poldnja-rabotal-i-uchilsja-po-planu
15.08.2025 22:15
Полдня работал и учился по плану. Выполнил одну зарядку с эспандерами, и еще раза три сделал новую с маленьким эспандером.
Плечи ныли меньше, чем вчера.

Пригласили на 4 этап собеседования (наверно в президенты выбирают). Как неловко выяснилось о встрече президентов на Аляске узнаем не сегодня. Сегодня из значимых событий я поехал порыбачить на дамбу, там готовил для ребенка удочку и из кармана выкатился колобок и улетел в воду. Хорошо рядом рыбак видел куда упало, пришлось искупаться и понырять. Когда спускался по плитам наступил на мох и вошел в воду очень эффектно с копчика. Никаких стоических афоризмов в голове не возникало, телефоне вещь сакральная, с ним я больше, чем без него, - боролся. Телефон остался рабочим, но пока не заряжаю. Вообще грустно было так телефон потерять. Как сейчас помню, сижу узелок вяжу и слышу "хлоп-хлоп - бульк".
Парадокс спорта, — сказал он, — заключается в том, что человек тренируется и участвует в соревнованиях, чтобы улучшить качество жизни, но всегда рискует умереть